关于公布北京关区2021年一季度申报企业通关时长的通告
发布时间:2021-05-12 信息提供:商务环境协调推进处(总部经济发展处)
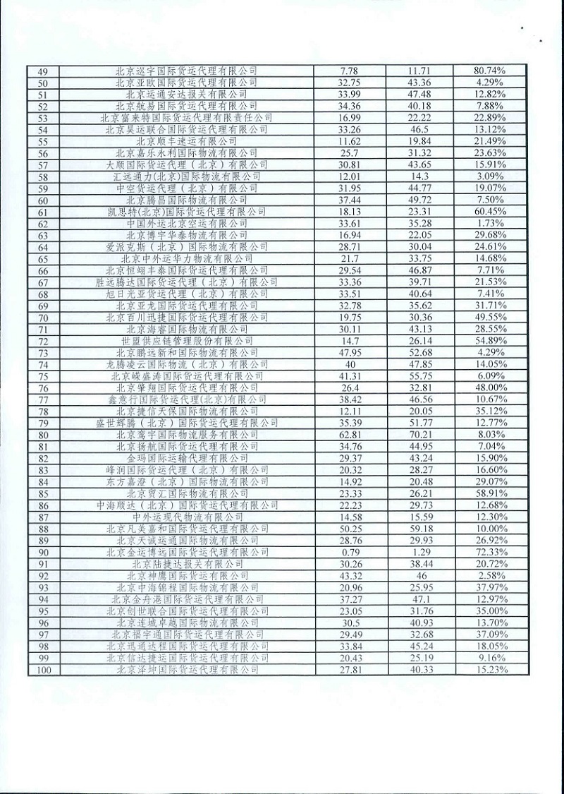
为进一步优化北京市营商环境,改善和提高跨境贸易便利化水平,营造北京口岸公开、透明、公平的良好竞争环境,现将北京关区2021年一季度申报企业进口通关时长进行通告,望周知。


扫一扫在手机打开当前页
为进一步优化北京市营商环境,改善和提高跨境贸易便利化水平,营造北京口岸公开、透明、公平的良好竞争环境,现将北京关区2021年一季度申报企业进口通关时长进行通告,望周知。


您访问的链接即将离开“北京市商务局”门户网站 是否继续?